▷ Kumpulan Soal Induksi Matematika Kelas 11

kumpulan soal induksi matematika kelas 11 - Selamat datang di website aku. kau mampu mencari tulisan yang sinkron lalu cita rasa kamu karena kami memiliki pemberitahuan yg kemudian update lalu ditulis lagi jalan perkataan yg santai serta mudah dipahami seluruh orang. sungai ini admin bakal membicarakan tulisan tentang kumpulan soal induksi matematika kelas 11.

Soal juga tersedia. 2022021 Contoh Soal Induksi Matematika Kelas 11 Pilihan Ganda Kumpulan Soal Pelajaran 5 Soal Induksi Matematika Pilihan Ganda Ilmusosial Id Soal Pilihan Ganda Induksi Matematika. 20210326 Contoh Soal Induksi Matematika Kelas 11 Beserta Jawabannya. Soal dan pembahasan induksi matematika pada keterbagian bilangan. 2992020 Soal induksi matematika kelas 11 pdf.

26 Contoh Soal Induksi Matematika Kumpulan Contoh Soal
26 Contoh Soal Induksi Matematika Kumpulan Contoh Soal from teamhannamy.blogspot.com

eyeshadow terbaru kim kardashian 392017 materi lengkap induksi matematika pengertian contoh soal induksi matematika kelas 11 Sma kurikulum 2013. 20210326 Contoh Soal Induksi Matematika Kelas 11 Beserta Jawabannya. Soal juga tersedia. Contoh Soal Notasi Sigma Kelas 11 Brainly Kumpulan Soal Pelajaran 7. Beberapa soal dan pembahasan induksi matematika disertai basis bilangan. Gunakan induksi matematika untuk.

kumpulan soal induksi matematika kelas 11

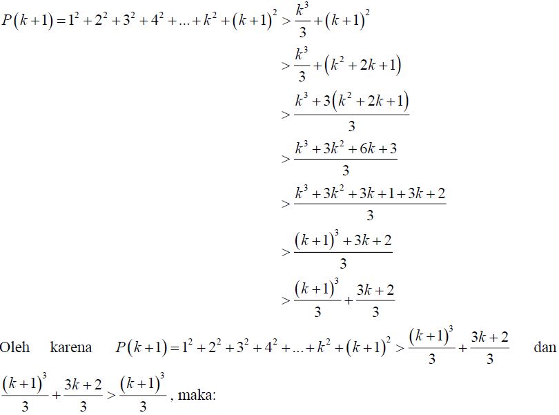
pernikahan pasha ungu dan istri Buktikan bahwa pernyataan dibawah bernilai benar untuk n bilangan asli dan tentukan jumlah tujuh suku pertamannya. Induksi matematika menjadi sebuah metode pembuktian secara deduktif yang digunakan untuk membuktikan suatu pernyataan benar atau salah. Contoh Soal Ujian Matematika Kelas 11 Semester 1 dan Kunci Jawaban Kurikulum 2013 Berikut ini adalah 20 butir contoh soal matematika semester 1 untuk siswa pelajari dalam menghadapi ujian sekolah K13. Contoh Soal Induksi Matematika Kelas 11 Pilihan Ganda Kumpul. 2912021 Soal Induksi Matematika Dan Jawabannya Kelas 11 Buktikan bahwa pernyataan dibawah bernilai benar untuk n bilangan asli dan tentukan jumlah tujuh suku pertamannya jawaban pembuktian jumlah tujuh suku pertama 2. 28102020 Soal Dan Pembahasan Induksi Matematika Kls 11 Berikut ini adalah soal dan pembahasan induksi matematika yaitu salah satu materi pada mata pelajaran matematika wajib kelas 11 silahkan dipelajari dan jangan lupa share bagikan ke media sosial kalian agar manfaat postingan ini dapat dirasakan oleh siswa i yang lain. kumpulan soal induksi matematika kelas 11.

Soal juga tersedia.

contoh stempel telur asin 1792020 Contoh Soal Induksi Matematika Kelas 11 Pilihan Ganda Guru Ilmu Sosial 18 Soal Soal Notasi Sigma Barisan Deret Dan Induksi Matematika 25 Soal Dan Pembahasan Induksi Matematika Pendidikan Matematika Contoh Soal Induksi Matematika Kelas 11 Soal Pas Matematika Wajib Contoh Soal Induksi Matematika Beserta Jawabannya. Buktikan bahwa pernyataan dibawah bernilai benar untuk n bilangan asli dan tentukan jumlah tujuh suku pertamannya. Induksi matematika menjadi sebuah metode pembuktian secara deduktif yang digunakan untuk membuktikan suatu pernyataan benar atau salah. Contoh Soal Induksi Matematika Kelas 11 Contoh Soal Induksi Matematika Beserta Jawabannya Membuktikan Rumus Dengan Induksi Matematika Zenius Blog. Admin blog Contoh Soal Terbaru 24 January 2022 juga mengumpulkan gambar-gambar lainnya terkait contoh soal induksi matematika kelas 11 dibawah ini. kumpulan soal induksi matematika kelas 11.

Buktikan bahwa pernyataan dibawah bernilai benar untuk n bilangan asli dan tentukan jumlah tujuh suku pertamannya.

kumpulan hadits tentang jual beli beserta penjelasannya Membuktikan Rumus Dengan Induksi Matematika Zenius Blog. Contoh Soal Ujian Matematika Kelas 11 Semester 1 dan Kunci Jawaban Kurikulum 2013 Berikut ini adalah 20 butir contoh soal matematika semester 1 untuk siswa pelajari dalam menghadapi ujian sekolah K13. Induksi matematika merupakan logika matematika yang lebih dalam. Membuktikan Rumus Dengan Induksi Matematika Zenius Blog. Soal Notasi Sigma Dan Induksi Matematika Pdf Kumpulan Soal Pelajaran 7. kumpulan soal induksi matematika kelas 11.

Terima kasih telah berkunjung pada website kami. mudah-mudahan artikel yg awak selidik diatas memberikan untung untuk pembaca lalu banyak orang yang telah berkunjung pada website ini. awak berharap dukungan bermula semua grup jatah pelebaran website ini supaya lebih cantik bersama.