▷ Sifat Nilai Mutlak Dan Pembuktiannya

sifat nilai mutlak dan pembuktiannya - Selamat mendarat pada website aku. kau bisa mencari tulisan yang sinkron dengan selera kau karena awak mempunyai pemberitahuan yang kemudian update dengan ditulis dan kiat percakapan yang kalem dan gampang dipahami seluruh perseorangan. kali ini admin bakal berdiskusi artikel hampiran sifat nilai mutlak dan pembuktiannya.

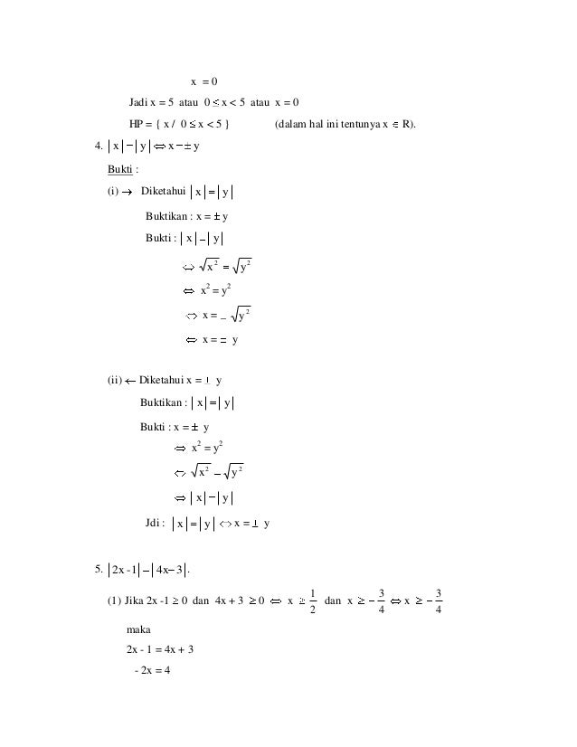
Penyelesaian pertidaksamaan nilai mutlak membutuhkan pertidaksamaan bentuk aljabar yang. Dalam uraian tersebut didefinisikan bahwa untu setiap x e R harga mutlak nilai mutlak dari x ditulis i x i dan i xi xjikax20 -x jika x 0. Rumus rumus trigonometri plus trik. Pembahasan Dengan mengisolasi simbol nilai mutlak baru kemudian menerapkan sifat persamaan nilai mutlak kita mendapatkan Sehingga himpunan selesaian dari persamaan tersebut adalah 18 33. Rumus matematika limit trigonometri w z o.

Aditiofitrisyah Day Two Pertidaksamaan Nilai Mutlak
Aditiofitrisyah Day Two Pertidaksamaan Nilai Mutlak from aditioaf.blogspot.com

belas ootd rabu kemeja untuk gaya kasual why not PT Zona Edukasi Nusantara 2020 logo merek dan isi website ini adalah hak cipta PT Zona Edukasi Nusantara logo merek dan isi website ini adalah hak cipta PT Zona Edukasi Nusantara. Pada persamaan nilai mutlak dan pertidaksamaan nilai mutlak kita telah mempelajari sifat-sifat nilai mutlak yang dapat membantu dalam menyelesaikan permasalahan baik persamaan maupun pertidaksamaan nilai mutlak. Sebelum menyelesaikan pertidaksamaan nilai mutlak ada baiknya kamu mengetahui sifat pertidaksamaan nilai mutlak setelah itu baru kamu belajar cara menentukan. Pengertian Sifat dan Contoh Soal. Beberapa sifat dari harga mutlak akan dibicarakan dalam kesempatan sekarang sekaligus dengan penerapannya dalam persamaan tetapi sebagian besar dari sifat-sifat harga mutlak akan kita jumpai dalam membicarakan pertidaksamaan harga mutlak dalam kegiatan belajar berikutnya. Pertidaksamaan nilai mutlak bahasapendidikan.

sifat nilai mutlak dan pembuktiannya

masak nasi liwet di magic com Sebelum menyelesaikan pertidaksamaan nilai mutlak ada baiknya kamu mengetahui sifat pertidaksamaan nilai mutlak setelah itu baru kamu belajar cara menentukan. Penyelesaian pertidaksamaan nilai mutlak membutuhkan pertidaksamaan bentuk aljabar yang. Welcome to Mathematics Corner Channel. Jika dan hanya jika atau. Ingat Pengertian Nilai Mutlak yaitu. Nilai mutlak dalam kalkulus sangat berguna untuk menyelesaikan berbagai persoalan matematika baik pada persamaan maupun pertidaksamaan. sifat nilai mutlak dan pembuktiannya.

Pengertian Nilai Mutlak Selamat pagi sobat semoga hari kalian menyenangkan.

lumion material library free download Jika dan hanya jika dimana. Penyelesaian pertidaksamaan nilai mutlak membutuhkan pertidaksamaan bentuk aljabar yang. Nilai mutlak adalah bilangan dengan nilai yang sama dari panjang atau jarak dari titik asal atau titik nol dalam koordinat. Welcome to Mathematics Corner Channel. Harapan saya adalah video ini dapat membantu kalian untuk belajar matematika di manapun kalian be. sifat nilai mutlak dan pembuktiannya.

Nilai mutlak akan kita pelajari sebagai salah satu materi dalam mata pelajaran matematika yang akan dipelajari ketika kamu baru masuk ke SMA.

resep bolu ulang tahun Materi ini kalau tidak. Sebagai contoh nilai absolut dari 3 adalah 3 dan nilai absolut dari 3 juga 3. Dalam uraian tersebut didefinisikan bahwa untu setiap x e R harga mutlak nilai mutlak dari x ditulis i x i dan i xi xjikax20 -x jika x 0. Pengertian Sifat dan Contoh Soal. PT Zona Edukasi Nusantara 2020 logo merek dan isi website ini adalah hak cipta PT Zona Edukasi Nusantara logo merek dan isi website ini adalah hak cipta PT Zona Edukasi Nusantara. sifat nilai mutlak dan pembuktiannya.

Terima kasih sudah berkunjung di website awak. mudah-mudahan tulisan yg awak periksa diatas menaruh untung pembaca lalu membludak orang yang sudah berkunjung di website ini. awak pamrih dorongan dari semua pihak bagi pengembangan website ini agar lebih bagus dengan.